杨川:特斯拉估值研究——PEGR方法对"梦想溢价"的解构

发布时间:2026年2月9日 16:14

以下文章来源于上海金融与发展实验室,作者杨川


杨川,上海金融与发展实验室特聘高级研究员

马斯克将2026年视为"奇点之年",预言AI、机器人、脑机接口、航天五大领域将同时抵达临界点并相互强化,AI将先后替代白领与蓝领工作。在此叙事下,特斯拉(Tesla, Inc.)的估值已成为资本市场最复杂、最具争议性的议题——其市值不止反映电动车龙头地位,更包含对FSD、Optimus机器人、能源方案乃至更广阔AI应用的"远期梦想溢价"。尤其当SpaceX合并可能性、太空算力中心、特斯拉手机作为新型移动智能终端与无人驾驶汽车融合等变数纳入考量,传统静态估值已无法捕捉其生态价值。本研究主张,在AI加速时代,对特斯拉等前沿科技公司的估值,核心不再是追求精确静态数字,而在于建立一个能持续吸收新信息、动态调整信念的认知与决策框架。

一、特斯拉估值分歧“梦想溢价”

(一)多空阵营的范式对立:不是分歧,是认知框架错位

图片

关键洞察:所有机构都在回避同一个问题——如果2025-2030年增长率58%(马斯克的预期)2030年后该是多少? ARK、高盛、大摩的模型在2030年戛然而止,并非巧合,而DCF方法无需做5年以后的预测。这正是PEGR方法要刺破的DCF假设幻象

二、梦想溢价估值参数

2025年末总市值:1.53万亿亿美元($469/股)。

2025财年净利润:50亿美元(乐观预期)。

2026年预测净利润:122亿美元(主流上限)。

剥离汽车业务后AI溢价:1.47亿美元,AI概念估值占比96.1%。

关键洞察当前定价按照2026-2030CAGR58.5%(马斯克的预期),但这仅贡献市值的9.0%真正决定估值大头的是2030年后的永续价值,其现值占比高达90.9%。DCF方法是将远期不可知的假设永续价值转化为当期可交易的数学魔术。这使得DCF估值的大部分都来自毫无根据的三大永续假设(永远增长、恒定增长率与不变折现率)。

二、特斯拉的逆向DCF与PEGR估值分析

(一)DCF估值分析

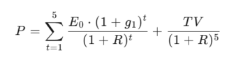
1.核心公式:两段论DCF模型

总价值=可预测期现值+终值现值

图片

其中,E02025财年净利润,g1为可预测期增长率,R为折现率,TV为终值。

2.TV值计算方法

采用戈登增长模型(Gordon Growth Model):

图片

3.推导结果:

图片

关键洞察:

  • 按照3%永续增长率反推的前5年隐含增长率58.7%与马斯克预期的58.5%接近,这说明市场价格受到了他的影响,并且通过DCF方法形成了估值的主要共识。

  • 永续增长率3.0%是保守值,这说明1.53万亿的估值在DCF方法估值的合理区间。

(二)PEGR估值分析

1.估值方法

四大约束条件下的估值逻辑:

(1)必要收益率(折现率R

(2)必要动态回收期(隐含终值DPP

(3)有效预测期(IRRR区间)

(4)有效增长率(净利润现值增长率)

首先,所有投资估值,都是在必要收益率(折现率)和投资回收期(投资效率)约束下的决策,且估值期限不能超过有效预测期。

其次,不同项目之间,或相同项目在不同风险水平下与不同投资回收期的比较,以及相关模拟推演,只能用有效增长率,而不能用复合增长率。同样的有效增长率在不同风险水平下会有不同的复合增长率,因此,复合增长率不适合做估值比较,尤其是不适合复杂增长曲线的项目比较。

图片

1.估值有效预测期示意图

1揭示了科技类股权资产的有效预测期——内部收益率IRR曲线与折现率R曲线相交的区间内,最佳投资期是IRR-R最大值的时间段。IRR曲线一旦与R曲线相交,其后的NPV将为负值(NPV=未来现金流现值总和-初始投资额<0),有效预测期后的价值预测不再有意义。因此,DCF方法的终值假设是无效假设,这也是为什么DCF方法估值结果往往会大于实际股权价值的原因。

图片

2.动态回收期内隐含终值阶段增长率示意图

如图2所示,为了便于做估值泡沫度比较,需要将必要动态回收期(隐含终值DPP)统一采用市场平均动态回收期(Market Average DPPMA-DPP),这样,估值的所有关键信息都会收敛到MA-DPP内。(具体方法详见:《估值革命:从自由现金流到成长性驱动的价值模型(九)》)

MA-DPP是不考虑增长率的市场平均投资回收期(按照ERP的倒数计算,ERP是指数的投资回报率)。由于没有考虑增长率,这个回收期是非常宽松的估值条件,也就是说,在市场平均风险水平下,大于这个动态回收期的投资都是不可接受的。

2.基础参数设定

图片

3.隐含终值计算与增长率反推

推算方法详见《估值革命:从自由现金流到成长性驱动的价值模型(九)》

推算结果

图片

关键洞察:

  • 终值期有效增长率为36.9%,但在不同风险预期下,其复合增长率则大不相同。真实风险情形要求的CAGR是保守情形下的2倍。这点在估值时要纳入考量。

  • 终值期增长率为58.1%,这相当于马斯克预测的58.5%增长率从5年延长到了12年,这完全突破了增长的基数效应,必须要有相应的市场规模和利润增长来支撑。

4.2037年净利润推算结果

图片

关键洞察:

2037年净利润1.90万亿美元:

≈2024年苹果净利润的17

≈2024年全球净利润最高10家公司总和的2.3

意味着特斯拉将成为全球第一大经济体实体(超过多数国家GDP),1.90万亿净利润的营收规模:6.5-7.5万亿美元。

5.特斯拉PEGR估值分析

图片

关键洞察:这虽然是价值投资坐标,但也可供价格投机做决策参考。无论市场多么狂热,投资者都要清醒地知道身处什么“海拔高度”(股价),该高度的含氧量(增长率)是否能够让价格继续向上“攀登”?

三、总结:DCF与PEGR方法的比较

(一)DCF让高估的价格看起来合理甚至像低估

传统教科书DCF方法的致命缺陷,在特斯拉与英伟达案例中暴露无遗——它本质上是将70%以上的企业价值推送到一个无法验证、不可预测、违背基本商业规律的“数学永生期”。

1.DCF方法的三大结构性缺陷

(1)缺陷一:永续增长率的合理性幻觉

模型假设企业以3%的恒定速率增长至"永远",却无视90%企业活不过30年的残酷现实。这种精确的错误比模糊的正确更危险

(2)缺陷二:可预测期增长率合理”遮盖的安全边际假象

DCF通过将特斯拉558.7%增长率的合理性,让投资者误以为其估值结果也是合理的。但前5年现值仅贡献8.4%,真正决定估值的是91.6%的永续期价值。这种大头靠假设的一劳永逸估值方法,本质上是“数学上精确,现实上离谱”,也暴露了DCF方法的弊端:“小数靠推演,大数靠假设”。这个弊端也是造成市场价格失效的主要根源——短期确定性沦为长期不确定性的伪装工具

(3)缺陷三:恒定折现率违背风险时间非线性第一性原理

风险的本质是不确定性,不确定性随时间呈几何级数增长(如图1所示)。DCF使用8.5%的恒定折现率,意味着第37年的风险补偿与第1年相同。而真实世界中,4年后的变数就需要每年增加1-2%的期限溢价(Horizon Premium),12年后折现率会超过25%(参考早期科创企业风险定价),此时DCF的永续价值会大幅缩水

2.结果:估值幻象

DCF测算1.53万亿市值看起来只要求前558.7%增长率就是合理的。

PEGR揭示真相7真实风险惠普可能需要77%的增长率,已突破基数效应和商业史极限。

(二)PEGR方法:用隐含终值的增长率量化叙事泡沫的强度

PEGR(市盈率-增长率-回收期)方法的价值在于:它将不可验证的永续梦想转化为可观测、可比较、可压力测试的隐含终值增长率指标,让市场分歧回归合理性分析而非无依据的假设

1.PEGR关键硬约束:市场平均动态回收期(MA-DPP

MA-DPP=12既是美股50年历史的平均投资回收期(零增长下的最长市场平均动态回收期),也是有效预测期限(如图1所示)可预测期5,不确定性将指数级上升,12年的折现率会超过25%,导致IRR<RNPV<0,也就是说,大多数科技类企业在12年后的内部收益率会低于当下的资本成本。

2.PEGR的实践优势

(1)隐含终值增长率是可证伪的指标

  • DCF的永续增长率无法验证。

  • PEGR终值期有效增长率是可观测的。比如:2031Robotaxi车队<100万辆、Optimus交付<10万台,则G<30%,市值需缩水40%

(2)可供投资决策的依据

这为投资者提供了清晰的止损信号:一旦2028FSD渗透率<20%,需立即重新计算G,若下调后隐含终值增长率<50%,则期初估值失去支撑,触发减仓或离场机制。

(3)揭示估值革命的核心:从预测现金流到评估增长可实现性

  • 不同的关注点:DCF关注未来现金流是多少PEGR追问支撑这个估值净利润增长率是否可能”。

  • 实物期权意义:市场给出的1.53万亿美元市值,隐含着2031-2037年净利润需保持58%的年复合增长率。这并非基于特斯拉当前汽车业务的线性外推,而是对马斯克叙事(RobotaxiFSDOptimus等)的看涨期权定价但期权价值会随时间衰减(Theta衰减),一旦2026Q4 Robotaxi试点推迟,G将骤降,引发估值崩塌

3.对投资者的实践启示

使用DCF的陷阱:

(1)投行研报标配:高盛、摩根士丹利用DCF给出特斯拉500美元目标价,本质是用精确模型包装乐观假设”。

(2)机构持仓理由:基金经理需要DCF严谨性来向LP交代,但PEGR揭示这只是数学迷惑”。

(3)个人投资者误区:看到永续增长率仅3%就以为安全,忽略了82%的价值在2030年后

(三)使用PEGR的优势

1.判断时机2030年后长达7年的隐含终值增长率突破50%时,就是明显的叙事泡沫应该寻找能够支撑这个叙事的利润增长点,如果没有,就要卖出或等待股价回撤到安全边际的投资价位,再视股价趋势择机而入。

2.事件驱动:将投资简化为2026FSD V13落地验证2027Optimus量产等可观察信号

3.风险量化:没有信息支撑g>50%,则仓位上限设为5%;若g30-40%范围,仓位可提升至20%

4.结论:DCF是估值的美颜相机PEGR卸妆水,揭示其本质是82%的远期幻想

四、特斯拉“梦想溢价”的解构

特斯拉的估值长期以来都显著偏离传统汽车制造商的范畴,其高企的市盈率和市值反映了投资者对其未来潜力的巨大期望,我们称之为梦想溢价。这种溢价并非单一概念,而是由多个高度不确定但潜力巨大的未来业务叙事所构成的价值总和。

(一)按照PEGR估值方法来解构特斯拉的“梦想溢价”

1.特斯拉未来业务分析

我们将能够支撑当下市值的特斯拉未来业务列成表格,以方便对每项业务的利润贡献比重、关键假设、挑战与风险和主流机构的预判进行深度分析:

图片

图片

图片

2.关键洞察

(1)市场研究空白:由于DCF方法只对前五年做业绩预测,五年后放弃预测,转用永续价值的数学假设,因此,2030年后的业绩成为“信息黑箱”。以ARK估值模型为例:2030年后现金流直接并入终值,永续增长率设为3%(即假设特斯拉2030年后增速跌至GDP水平)

(2)PEGR方法的独特价值:DCF方法将用假设的永续3%增长率来掩盖永续价值的信息黑洞,以及无法进行合理性分析的窘境。而PEGR则强制要求:当前市值需要隐含终值期增长率(g=58.1%)的支撑


(3)结论:没有机构敢分析2030年后增长率,因为DCF方法没有提供这种分析的视角与估值框架。如果用PEGR方法分析,特斯拉估值泡沫将立刻现形。


(二)重要补充一:来自中国的竞争威胁

1.市场占有率:上表隐含假设特斯拉2030年在中国仍保持15-20%市占率(支撑全球50万辆Robotaxi目标),但现实是2024年已跌至6.8%且持续下滑。

2.华为FSD技术追赶:未量化华为ADS3.02025年已实现的“无图城市NCA”和“代客泊车”功能,其体验已逼近FSD V13

3.比亚迪+华为生态:2025年比亚迪将全系标配华为乾崑ADS,年销量300万辆形成数据飞轮,这是特斯拉无法企及的“本土护城河”。

图片

4.核心结论:华为FSD仅仅追赶者,而是依靠中国300万量产车+本土化场景,在2029年完成技术反超。

(三)重要补充二:AI成本下降引发的降价因素对未来业绩的冲击

1.AI时代最核心的“价格通缩黑洞”

当英伟达将AI训练成本每18个月降低90%时,所有基于当前毛利率的远期估值都会系统性崩塌。特斯拉的梦想溢价建立在三个AI业务的高毛利假设上,而这一点正被英伟达的芯片路线图与中国的竞争者摧毁。

2.特斯拉AI业务的毛利率悬崖

(1)原表隐含的毛利率假设(基于2025年定价)

图片

(2)核心结论:若考虑AI成本通缩,特斯拉终值期增长率将从58%下降到40%以下,市值会跌破1万亿美元。

3.竞争格局对“梦想溢价”的终极解构

图片

4.结论:估值修正

(1)原隐含终值期增长率g=58.1%未考虑以下因素。

  • 中国竞争:华为/小米/比亚迪。

  • 物理AI颠覆:英伟达Cosmos。

  • AI成本通缩:价格跌80%。

(2)AI成本通缩是压倒骆驼的最后一根稻草。

  • FSD订阅:199美元/49美元/月(2030年)。

  • Robotaxi2美元/英里0.5美元/英里(2030年)。

  • Optimus3万美元8000美元(2030小米/华为成本价)。

如果上述情况发生,会对估值带来极大的影响。

(3)PEGR警示:当前$469股价面对的特斯拉战胜中国竞争、英伟达颠覆、AI通缩”的三重挑战。

五、英伟达进军物理AISpace X反向并购特对估值的影响

(一)英伟达的战略威胁

1.风险定性:从技术代差升级为生态级降维打击

2025CES大会上,英伟达发布Cosmos物理AI平台与Isaac GR00T机器人基础模型,标志其正式从算力供应商转型为物理世界智能的标准制定者。这与特斯拉的垂直整合模式形成根本性冲突:

图片

2.核心冲突点

(1)技术商品化:英伟达将自动驾驶核心能力(感知、预测、规划)打包为可调用API,使任何车企(如丰田、大众)都能快速追赶,特斯拉“遥遥领先”的数据优势在合成数据面前将大大减弱

(2)机器人大脑标准化:GR00T模型支持任何形态的机器人,特斯拉若坚持自研,将面临安卓vs苹果式生态孤立。更糟糕的是,Optimus的硬件成本3美元无法对抗GR00T赋能的千元级国产机器人。

(3)估值逻辑颠覆:路况数据是有天花板的,并不会因为谁有千分之一或万分之一的“长尾事故”数据,谁就会碾压对手。英伟达Cosmos平台通过生成式世界基础模型等技术,将FSD的研发、训练、部署环节标准化、模块化与可交易化,降低技术门槛与成本,让FSD的能力能像商品一样被高效开发、定制与交付,会吸引海量用户加入并提供实时数据。这使得特斯拉的竞争护城河会被快速填平。

3.对特斯拉估值的直接影响

(1)终值期增长率下降:若英伟达物理AI2026年商业化落地,特斯拉终值期增长率g58.1%40%市值会跌破1万亿美元。

(2)极端情景:英伟达宣布与3家主流车企5家机器人厂商合作,特斯拉梦想溢价”会大幅蒸发

(二)SpaceX反向并购特斯拉:梦想溢价的双刃剑

1.事件背景

2026年初的一期《All-In Podcast》中,风险投资家和“SPAC之王”——查马斯(Chamath Palihapitiya)预言,Space X可能不会进行传统的IPO(首次公开募股),而是会通过“反向合并”的方式并入特斯拉。

2.核心理由查马斯认为,马斯克的核心资产(特斯拉、SpaceX/星链、xAI)不应被视为独立公司,而是一个整合的“技术生态系统”。反向合并可以更好地将这个“生态系统”整合进统一的股权结构,并释放巨大的协同效应估值。其论述逻辑可以通过下表直观展示。

(1)技术生态

图片

(2)资本动力

图片

(3)合并后对特斯拉业绩的补充效应

图片

(4)关键洞察:短期(2030年前)Space X业务对特斯拉净利润补充有限(<10%),很难弥补RobotaxiOptimus的增长缺口。合并更多是将汽车故事升级为太空故事,并未解决1.9万亿利润目标的可实现性问题。

3.对特斯拉市值的重构效应

(1)估值锚点切换:汽车股变为AI+太空科技综合体市值会有所提升(对标SpaceX一级市场估值:SpaceX估值已达特斯拉的52%,但收入仅为特斯拉的16%)

(2)叙事强化:星链+火星殖民为1.9万亿利润目标提供第二增长曲线,梦想溢价占比从96%降至85%(因SpaceX已有收入验证)

(3)资本黑洞:星舰+火星殖民后续需投入超5,000亿美元,特斯拉现金流将被吞噬,自由现金流折现后现值减少30%

(4)监管风险:火星货运触及《外空条约》,欧盟可能拆分合并后的巨头,估值需嵌入20%政策风险溢价。

4.新增风险维度评估

图片

5.关键洞察

(1)英伟达威胁是系统性风险:物理AI平台化将填平特斯拉的护城河

(2)Space X合并是叙事泡沫:不能改善利润实现性,反增资本黑洞,太空故事仅能短期对冲,无法长期支撑估值

六、市场忽视的AI经济学意义的风险:有效需求不足

马斯克预言AI将首先取代多数白领工作,随后人形机器人将接管蓝领工作。当黄仁勋宣称AI将创造100万亿美元市场,马斯克预测特斯拉Robotaxi业务将贡献万亿美元利润,木头姐(Cathie Wood)预言AI时代全球的GDP增长增速将加速至7%-8%,整个市场都被供给侧的“奇点奇迹”所振奋,然而他们都忽视了一个基本事实:所有AI创造的价值,最终都需要有购买力的消费者来买单。当AI替代的不是马车,而是数十亿劳动者的收入来源时,这个循环如何从投资生产消费再投资中完成闭环?

(一)AI时代最致命的经济学悖论:GDP高速增长背后的生产-需求循环断裂风险

需求断崖式下降导致购买力来源的第一性原理崩塌从投资角度,个因素必须纳入估值框架。

1.供给侧的疯狂

(1)特斯拉:2025-2037年需投资1.2万亿美元建设Robotaxi车队、Optimus工厂(对应7万亿美元营收目标)。

(2)英伟达:2025-2030AI资本开支达3.5万亿美元(数据中心+芯片)。

(3)全球AI总投入:2025-2030年累计8-10万亿美元(麦肯锡预测)。

2.需求侧的崩塌

(1)失业规模:AI将替代全球30-50%劳动力(高盛2024报告),2030年后失业人口15-25亿。

(2)收入减少全球劳动者总收入减少12-18万亿美元/年(相当于全球GDP15%)。

(3)购买力真空:被替代的工人失去收入,谁来购买7万亿美元的AI服务?

3.致命矛盾

供给侧:特斯拉+英伟达+GPT等需投资数万亿美元(仅特斯拉2037年营收就要7万亿)

需求侧:AI+机器人替代30-50%劳动力预计2030年后全球失业人口15-25亿

供需矛盾:AI取代的工人失去收入,谁来购买7万亿美元的Robotaxi服务+人形机器人?

(二)将此风险纳入PEGR估值框架:从竞争风险文明级风险

传统估值模型只考虑技术风险“竞争风险”,但AI时代的风险是文明范式转移——当生产力全面超越人类购买力时,资本主义分配机制可能崩溃。

1.新增经济与政治风险维度

图片

2.关键洞察:Level1风险(需求不足)的发生概率是确定性的,只是时间问题。传统估值模型将其权重设为0%,而PEGR要求至少给予20%权重。

(三)UBI(全民基本收入)政策信号与市场信心

终极风险(购买力悖论):AI+机器人创造的7万亿美元营收,需要失业人口通过UBI或再分配获得购买力的前提。若2030年前未建立全球性的机器人税+基本收入体系,生产-需求循环将断裂,所有增长叙事归零。而一旦实施UBI政策,将会对AI与机器人企业的盈利和估值带来冲击。

1.机器人税10%对特斯拉PEGR估值的冲击分析

假设全球统一机器人税10%征收(类似欧盟《人工智能法案》提议的数字服务税变体):

(1)Robotaxi收入:每英里收费100%属于自动化收入,全额征税。

(2)FSD软件订阅:AI驾驶功能收入,全额征税。

(3)Optimus机器人:替代人力成本计算应税价值(替代1名工人=应税3万美元/年)。

2.机器人税对特斯拉各业务板块的利润侵蚀(2030年静态测算)

图片

关键洞察:机器人税使特斯拉AI业务利润直接缩水20%。机器人税不仅是利润侵蚀,更致命的是削弱特斯拉投资自动化的动力。资本市场对Robotaxi/Optimus的长期渗透率预期从70%/50%Optimus工厂场景)的乐观预期会下降至50%/40%

(四)PEGR模型修正:g值从58.1%下调至45.2%

1.修正系数推导

(1)静态利润影响:-20%→终值现值↓20%→g需下调8%。

(2)动态投资影响:扩张速度-30%→g需下调10%。

(3)政策信心影响渗透率预期-30%→g需下调7%。

(4)综合修正:g=58.1%×(1-8%)×(1-10%)×(1-7%)=45.2%。

2.机器人税下的PEGR估值分析

图片

3.最终结论:机器人税是特斯拉估值的政策灰犀牛

(1)政策信号:欧盟《人工智能法案》2024年已明确将“自动化税收”列入审议议程,20251月法国、德国财长公开表态“AI企业应承担更多社会保障成本”。20238月,韩国共同民主党议员尹美香(Yoon Mi-hyang)提交《智能自动化设备雇佣调整支援法》草案,提议对工业机器人征收“雇佣调整税”,税率为3%,用于补贴被替代的工人再培训。中国人社部20251月发布《AI就业影响白皮书》,明确提出“研究自动化设备社保缴费机制”。

(2)当前市值假设机器人税概率为0%,完全未计入政策风险。

(3)合理定价:赋予机器人税60%概率(2028年前实施),隐含终值增长率g58%下降至45%,市值下调26%

(4)机构沉默:高盛、摩根士丹利等卖方报告对“政策风险”仅一句话带过,未量化其对g值的影响。

(5)投资者盲区:“政府暂时不征税”误认为“政府永远不会征税”。

(6)发生概率:随时间递增(灰犀牛的必然性):

  • 2027年:欧盟先行试点(概率40%)。

  • 2029年:中国跟进(概率60%)。

  • 2031年:全球主要经济体统一税率(概率80%)。

4.PEGR方法的意义

(1)机器人税的灰犀牛逻辑:AI替代就业→失业率上升→社保缺口扩大→财政压力倒逼税收→特斯拉利润被侵蚀,这一链条的每一步都是可预测的,但市场主流机构的估值方法模型都没有将其纳入风险因素。

(2)PEGR发估值逻辑:将模糊的政策风险转化为可量化的g值调整,并迫使投资者承认要面对特斯拉当前股价包含了政府永远不会征税假设

七、估值变数一:特斯拉自研AI5/AI6芯片对市值的影响

(一)特斯拉的芯片战略背景

1.激进的目标:马斯克为特斯拉的AI芯片设定了每9-12个月迭代一款新设计的目标,试图超越英伟达等公司每年的迭代速度。

2.宏大的愿景:马斯克曾表示,特斯拉最终生产的AI芯片数量将超过其他所有制造商的总和。这些芯片将用于其数百万辆汽车以及Optimus机器人,从而实现巨大的规模效应。

3.复杂的挑战实现快速迭代的挑战巨大。因为车规级芯片需要满足极端严苛的安全性认证(如ISO26262标准)和漫长测试,其开发难度远高于数据中心芯片。如果英伟达反击,比如Thor降价至250美元倾销,特斯拉自研战略将面临极大的挑战。

(二)特斯拉AI芯片的应用场景

面对英伟达物理AI平台的降维打击,特斯拉的应对并非被动,其自研AI芯片(AI5/AI6)计划构成防御体系的核心。但需明确:此为成本节约型防守,非技术代差型进攻,对g值提升微弱。

1.AI5500TOPS定位:刚好踩到L3的门槛,能处理"高速领航+自动泊车",但遇到复杂路口、施工改道、极端天气时,必须让驾驶员接管。

2.L4/L52000+TOPS需求:必须实现双芯片冗余(一颗主控+一颗备用)+全车传感器融合(8摄像头+4D雷达+超声波),任何单点失效都不能导致事故。这就像民航客机必须有两台发动机,一台坏了另一台能继续飞。

3.规模效应有限:90%以上芯片需求集中在FSDOptimus贡献微不足道。2026AI5产能2000万颗,20304150万颗,4CAGR20%,远不及FSD订阅增速(目标50%)。

4.核心结论:AI5/6经济型发动机不是性能火箭,无法支撑L4/L5的安全冗余要求。AI5的500 TOPS仅达L3级FSD准入门槛,无法支撑L4/L5级Robotaxi所需的2000+ TOPS冗余。其战略价值是“足够用+自主可控”,避免英伟达供应链断供,而非性能领先。

(三)竞争格局分析:特斯拉AI5/6 vs英伟达Thor vs华为MDC

1.核心结论:AI5/6在成本与垂直整合上具备防守价值,但英伟达Thor凭借生态垄断L4/L5市场,华为凭本土化优势抢占L3增量,三者形成差异化分层竞争。特斯拉估值的g值支撑不依赖AI5/6领先,而依赖Robotaxi运营数据超预期。

2.技术参数硬对比

(1)算力、能效与成本三维

图片

(2)关键洞察

  • 性能溢价不存在:AI5/6无技术代差优势

AI5算力500TOPS仅满足L3FSD准入门槛,无法支撑L4/L5Robotaxi所需的2000+TOPS冗余。特斯拉仍需依赖Dojo集群进行云端训练,边缘端性能溢价无法转化为订阅费提价(FSD价格维持199美元/月)。

订阅定价存在天花板效应”:美国家庭平均每次打车花费25美元,FSD月费199美元≈8次打车。若提价,用户会算笔账:不如直接打Uber

华为MDC810算力虽低,但本土化场景优化,在L3市场成本与性能平衡最优,对特斯拉中国市场份额构成冲击。

  • 结论:AI5/6的贡献纯粹是成本节约型,而“利润增长型”,对g值提升微弱且不可持续。

3.竞争结局

(1)英伟达:垄断全球L4/L5市场(2027年预计市占率65%),成为特斯拉唯一外购供应商(Robotaxi仍需2000+TOPS冗余)。

(2)华为:主导中国L3市场(2027年市占率55%),特斯拉FSD在中国渗透率<10%,中国业务g值贡献归零。

(3)特斯拉AI5/6固守自有车队L3与工厂Optimus(年用量500万片),市占率15%,无法外销。

(四)业绩贡献:成本节约模型与g值边际影响

1.成本节约测算(2026-2030

图片

2.PEGR综合影响:自研芯片使2030年净利润增至887亿美元,g值从58.1%上升58.8%(仅提升0.7个百分点)。节约利润占比逐年递减,边际效应递减

(五)估值分析:事件驱动的硬门槛

触发条件与g值调整

图片

关键洞察AI5/6对终值贡献<2%,无法支撑20371.9万亿美元利润目标。未看到硅片前,绝不支付叙事溢价。当前市值已隐含过高自研预期

自研芯片作为防御策略,权重仅占g值影响的±1%,远小于英伟达威胁(±30%投资者应优先关注德州工厂Cybercab周产量(需达1000/周)与FSD订阅净增用户(需达+150/季),这两个硬指标才是g值的真正支撑。

八、估值变数二:马斯克太空算力中心计划对特斯拉市值的影响

20261月,马斯克在X平台发布"Starship数据中心"构想,提出利用太空近乎无限的太阳能与绝对零度散热环境,在轨道上部署AI算力集群。SpaceX反向并购特斯拉,该计划将直接获得整车制造的供应链能力与AI软件生态,形成发射能力+能源管理+AI算力的三位一体垄断,成为其对20371.9万亿美元利润目标的强支撑。

(一)技术-商业逻:为什么必须去太空?

1.地球数据中心的物理瓶颈已触及天花板

(1)能源密度:顶级数据中心功耗达100兆瓦,接近小型核电站,电网扩容成本每兆瓦超200万美元

(2)散热极限:液冷技术使PUE降至1.1,但热量最终排向大气,单机柜热流密度逼近200W/cm²工程极限

(3)土地要素:AI算力每18个月翻倍的黄氏定律下,2030年全球数据中心需占地5000平方公里(上海市面积)

2.太空算力的颠覆性优势

(1)免费能源:地球轨道日照强度1367W/m²24小时不间断,单颗卫星翼展1000m²可获1.3兆瓦持续电力

(2)终极散热:3K宇宙背景温度,辐射散热效率是地球的10000倍,无需任何冷却系统

(3)物理隔离:天然防黑客、防地震、防地缘政治断供,满足主权AI的绝对安全需求

(二)业绩补充效应测算(2030-2037

基于Space X星舰2028年成熟(单次发射成本降至200万美元)与特斯拉Megapack能源管理技术,我们构建轨道数据中心的财务模型:

1.关键假设

(1)单星载荷:每条星舰部署50颗卫星(每颗算力1000PFlops≈10万块H100)。

(2)组网成本:包含制造、发射、保险,单颗综合成本1500万美元(vs.地面数据中心同等算力1.2亿美元)。

(3)客户付费意愿:主权AI、金融高频交易、气候模拟客户愿为物理隔离算力支付3倍溢价。

(4)折旧周期:太空辐射环境下硬件寿命5年,残值率0%。

2.业务板块利润贡献表(2030-2037

图片

3.关键洞察

2037年太空算力贡献1.19万亿美元净利润,使特斯拉总利润从原预测的1.9万亿提升至3.09万亿,可以将g值拉高到69.4%。或者,可以大幅减轻原来58.1%增长率的压力。但此测算隐含“太空算力市占率100%”的强假设,需与英伟达(已宣布Isaac平台支持轨道部署)、亚马逊(Kuiper星座改造计划)竞争。

(三)PEGR估值框架的重构:新增轨道风险溢价维度

1.太空业务引入传统估值模型无法量化的三重新风险,需在折现率中追加轨道风险系数

(1)技术风险:太阳风暴、太空碎片碰撞、微流星体击穿,卫星年损失率等。

(2)政策风险:《外空条约》禁止主权声索,但算力主权归属模糊,2030年可能爆发轨道霸权贸易战

(3)融资风险:5年需部署5000颗卫星,资本开支7500亿美元,远超特斯拉Space X当前现金储备

2.PEGR估值重算(太空算力情景)

图片

关键洞察:太空算力中理论上可支撑当下偏更高市值前提是特斯拉与Space X能够合并。

九、估值变数三:特斯拉车载算力云对特斯拉市值的影响

截至20261月,无任何官方实施计划、技术白皮书或SEC文件披露。该设想仅停留在马斯克X平台零星提及与xAI工程师内部讨论阶段,属于“叙事预热期”,预计距离工程化至少需5年。

(一)车载云的核心用户群体与应用场景

车载云服务于车主、车企、交通管理部门及第三方服务商四大群体,覆盖娱乐、驾驶、交通、运维四大场景,本质是车辆的算力、存储、网络资源云端化。

(二)技术三大瓶颈

1.瓶颈一:网络带宽

车载5G上行仅50Mbps,而H100400Gbps,延迟>100ms无法满足实时推理。

2.瓶颈二:散热限制

AI5芯片停车模式下持续运行温超105°C,需重新流片(成本12亿,周期18个月)。

3.瓶颈三:算力供给无法满足需求

(1)供给端(车载云实际能够提供多少算力?)

理论:1500万辆×500TOPS×8小时=6000Exaflops×小时/日(等效10H100)。

现实:1000万辆车×10%参与率×2小时可用=150Exaflops×小时/日(等效2,083H100)。

结论:供给虚高97%,实际仅为理论的2.5%。

(2)需求端Grok到底要多少算力?)

训练:已完成,需2亿GPU小时,车载云无法替代(需要20H100并行6个月)。

推理:日调用2亿次,每次150TOPS×2=3000Exaflops×小时/日(若按瞬时峰值换算)。

结论需求3000vs供给150,缺口20倍。

xAI推理阶段用Oracle云,车载云无法替代

图片

(三)法律障碍

1.车主协议:特斯拉购车协议中无明确的“特斯拉将车辆用于非车主使用的商业用途”授权条款,若要实施车载算力云计划,必须与消费者签署新协议,否则构成法律风险。

2.xAI股权:特斯拉与xAI是独立法律实体,算力交易需按市场价计价,否则SEC可启动关联交易调查(类似推特收购案)。

(四)例外场景的商用价值

1.特斯拉内部数据闭环:车载云可回传corner caseDojo训练,但不产生收入,可节省成本。

2.特定区域车路协同:在封闭园区/高速,延迟可接受,但市场规模<1亿美元/年。车载云回传corner case仅能节省年度数据传输费用约3200万美元,占特斯拉总营收0.03%,对g值贡献<0.1个百分点,不构估值的成业绩驱动。

十、估值变数四:特斯拉T-Phone手机生态——从"通信工具"到"智能生活主权ID"

核心提示:1.53亿市值的隐含终值期增长率g=58.1%是“目标值”而非“默认值”。也就是说,只有在2031年至2037年的利润增长率达到58.1%,才能支撑当下的市值和股价。而这个增长率是高度不现实的。在剔除所有估值变数后,特斯拉基于汽车+储能+FSD的独立业务,PEGR模型测算的合理g值仅为40%(对应2025年末的市值9800亿),当前市值高估35.9%。如果考虑合理估值泡沫,现在的特斯拉价格已在顶峰,如果没有估值叙事支撑,再向上攀升就进入到了橙色预警泡沫区间。

估值变数的本质:T-Phone手机、Space X合并、太空算力中心不是锦上添花,而是实现58.1%增长目标的必要条件。只有这些变数兑现,才能将2037年利润推至1.9万亿美元,支撑当前股价,并提供进一步上升的动力。

(一)技术-商业逻辑:特斯拉造手机的必要性

1.星链直连手机的瓶颈:2026年星链V3虽实现卫星直连,但依赖苹果/安卓系统导致数据传输延迟增加80ms,无法满足Robotaxi远程召唤<50ms延迟要求。特斯拉必须掌握硬件-OS-应用全栈控制权,否则星链的商业价值无法释放。

2.g值缺口计算:无手机生态的特斯拉,2037年利润仅1.0万亿美元(g=40%),距离支撑当前市值的1.9万亿缺口为9,000亿;T-Phone通过星链订阅、AI服务、生态协同三重路径,可填补5800亿缺口(占64%)。

2037年手机业务利润构成

图片

(二)与SpaceX合并的协同价值:数据主权的物理级垄断

SpaceX与特斯拉合并,T-Phone将成为“太空数据主权”的唯一民用载体,其协同价值体现在:

图片

PEGR重算:合并后g值从55.1%会上升至62.8%,2037年总利润达2.45万亿美元,对应市值支撑 +6,000亿美元 。但老股东稀释至62.5%,每股价值净增仅7%。

(三)PEGR最终框架:三终端融合后的条件性g

图片

核心洞察:当前市值隐含了T-Phone成功+Space X合并60%概率的贝叶斯预期。

(四)与苹果终极对决:为什么特斯拉溢价300%才合理

图片

核心逻辑:苹果是应用层公司,特斯拉是物理层(卫星)+网络层(星链)+数据层(终端)+应用层(AI服务)全栈文明基础设施公司。苹果卖的是工具,特斯拉卖的是在地球任何角落无中断的智能生活主权

(五)估值参数变化

1.基于贝叶斯更新的仓位管理

(1)2026Q4前:T-Phone信号,g值预期45%

(2)2027Q2T-Phone专利公开:g值预期上升至55%

(3)2027Q4Space X合并确认:g值预期上升至62%

(4)2028Q1手机发布:首日销量>50万台,g值预期上升至67.6%

2.核心结论

特斯拉手机是解锁星链算力直达用户的唯一入口,是PEGR框架下将g值从40%上升至58.1%乃至更高增长率预期的确定性催化剂。若2028年成功发布,可创造5800亿美元增量利润,对应估值增加1.2万亿美元,使当前市值从“泡沫”变为“合理”。

全文总结AI加速时代,估值不再是静态数字,而是动态演化的条件概率函数。特斯拉的1.53万亿市值不是便宜,而是市场对马斯克能否在24个月内造出手机并合并Space X”等一系列事件组合的隐含定价

因此,估值方法论需要从“静态一次性预测”的DCF范式向“动态阶段性评估”PEGR范式转移。其方法是将贝叶斯定律融合进入PEGR估值框架,将不可验证的远期梦想转化为可预期的隐含增长率,并用贝叶斯引擎持续吸收新证据并更新概率权重。这一PEGR+贝叶斯”动态估值模型,本质上是一个随时间演化的活体系统,其核心价值不在于预测精确数值,而在于建立“事件驱动-概率重估-仓位调整”的决策闭环

后续我们将以此模型为工具,对美股(如特斯拉、英伟达)和A股(如摩尔线程、寒武纪)等热门科技公司展开持续追踪与动态估值,每4-6个月输出一次经贝叶斯更新的估值中枢与估值变化分析,让估值真正服务于“在不确定中持续做出最优决策”的投资本质。

来源:上海金融与发展实验室